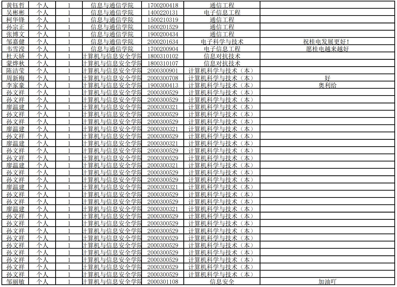
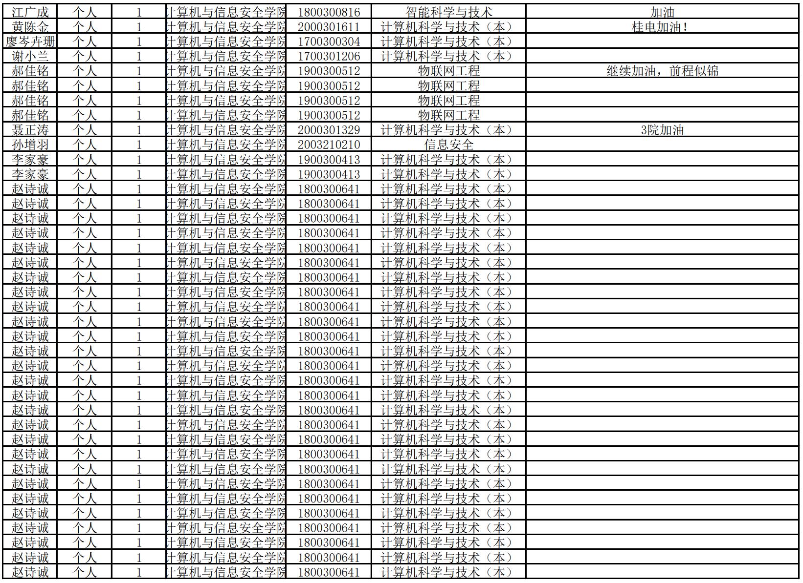
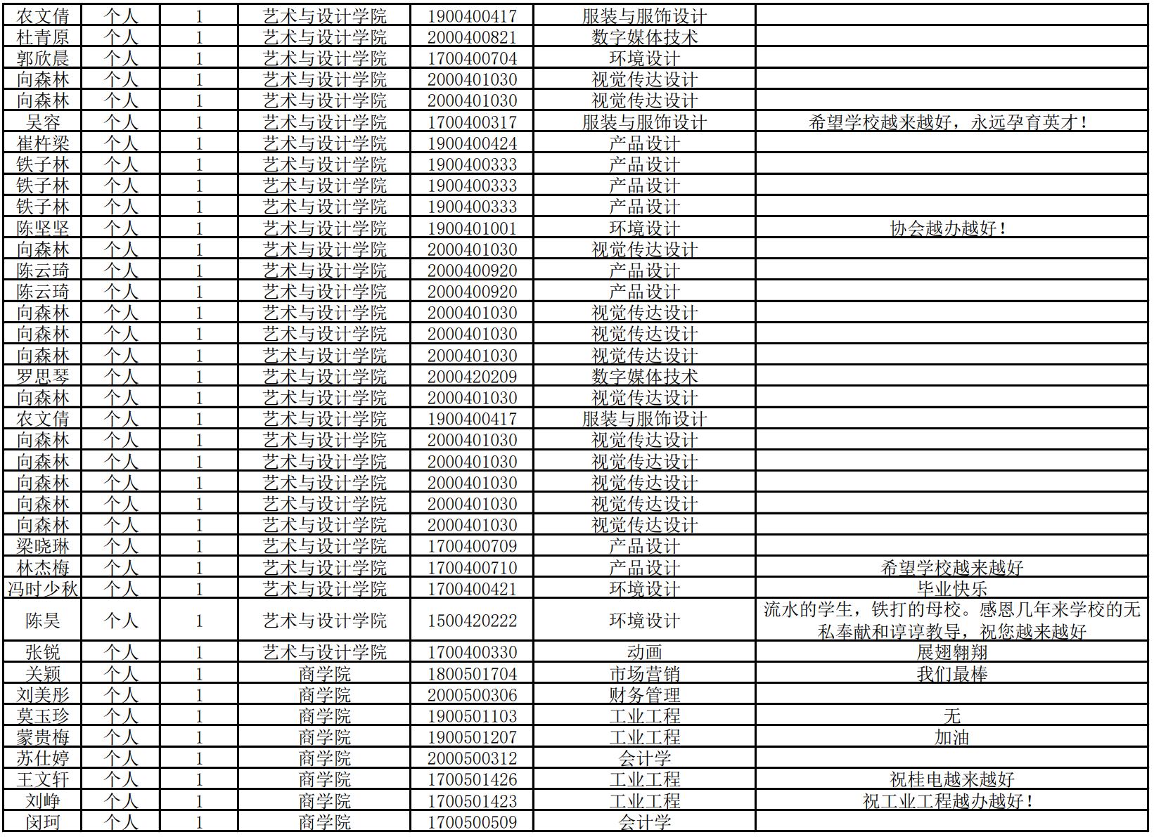
为把“情系桂电,喜迎校庆”的美好祝愿传承下去,号召桂电学子为母校奉献一丝温暖,设立毕业季真情1元捐活动。每人奉献一份心,让毕业季更完美。 2021年1月1日-11月10日,桂电发展,有你有我——毕业季1元捐项目共计收到1295元爱心捐赠(该汇总为桂电人平台导出数据数据汇总)。现将该项目明细公示如下:
为把“情系桂电,喜迎校庆”的美好祝愿传承下去,号召桂电学子为母校奉献一丝温暖,设立毕业季真情1元捐活动。每人奉献一份心,让毕业季更完美。
2021年1月1日-11月10日,桂电发展,有你有我——毕业季1元捐项目共计收到1295元爱心捐赠(该汇总为桂电人平台导出数据数据汇总)。现将该项目明细公示如下: